by Elif Dilek Cakal
Case Presentation
A 45-year-old female with no prior medical history presented to the emergency department (ED) with three days of constant shortness of breath. She was suffering from left-sided sharp chest pain, which is stronger during inhalation. She had felt breathless while she was climbing upstairs during the previous week. She had no cough or expectoration. She was a non-smoker; her only drug was daily oral contraceptive. Vitals at arrival were as follows: Blood Pressure: 116/72 mmHg, Pulse Rate: 102 beats per minute (bpm), Respiratory Rate: 18 breaths per minute, Body Temperature: 37°C (98.6°F), Oxygen Saturation: 95%. Physical examination revealed no abnormality except for the left-sided basilar crackles. Chest X-ray was unremarkable. The emergency physician (EP) proceeded to investigate differential diagnoses. Her Well’s Score for pulmonary embolism was 4.5 (moderate) because of increased heart rate and lack of alternative diagnosis. The laboratory results showed negative β-HCG, normal renal function test, platelet number and a D-dimer measurement of 751 ng/ml (cutoff = 550 ng/ml). EP explained these results to the patients and suggested a computed tomographic pulmonary angiography (CTPA). CTPA showed filling defects within the left pulmonary artery, left anterior and lateral segmental artery associated with pulmonary embolism. Enoxaparin, 1.0 mg/kg, twice a day (80 mg = 0.8 ml, each dose for approximately 80 kg patient), was started. Her Pulmonary Embolism Severity Index (PESI) was 65 (class I) and implied a very low risk. As a shared decision with the patient and respiratory physician, the patient was referred to the respiratory physician as an outpatient after discussion and confirmed understanding of discharge instructions.
Introduction
The incidence of pulmonary embolism (PE) is approximately 1.5 new cases per 1000 persons. Patients with chest pain, shortness of breath and syncope should have pulmonary embolism excluded. Atypical presentations include mental deterioration in patients with prior dementia. EP must maintain a high index of suspicion as the potential outcome of a misdiagnosis is catastrophic. The mortality of untreated PE is estimated to be 30% whereas the all-cause 30-day mortality of diagnosed PE is only 8%.
Critical Bedside and General Approach
First, the EP must determine whether the patient is stable or unstable. Instability and shock warrant stabilization in addition to simultaneous diagnostic and therapeutic effort. If the patient is hypoxic, administer oxygen. Severe hypoxemia or mental deterioration necessitate intubation. If the patient is hypotensive, administer only 500 mL IV bolus saline. Aggressive IV fluid may increase the right heart strain and shock. If hypotension persists, give IV vasopressors, particularly norepinephrine or epinephrine.
Obtain an ECG to exclude STEMI and dysrhythmia. Perform a thorough bedside ultrasound. EP can rapidly exclude pericardial tamponade, pneumothorax, and intraabdominal bleeding via bedside ultrasound. Right ventricular enlargement or the presence of deep venous thrombosis (DVT) gives hints of pulmonary embolism (please check RUSH Protocol chapter).
What is your diagnosis in US given below?
AnswerUS apical view and parasternal short axis view. Enlarged RV is seen apical 4 chamber view of the heart and in PS short axis (on the right) D shape LV.
- If the patient is stabilized, the patient should directly undergo CTPA.
- If the patient remains unstable or CTPA is unavailable, bedside ultrasound is the only diagnostic tool.
- If CTPA confirms or bedside ultrasound strongly suggests pulmonary embolism, thrombolysis is indicated.
- If the patient is stable with high suspicion of PE, but the diagnostic measures are expected to delay, administering of one dose low molecular weight heparin (LMWH) is recommended.
Differential Diagnosis
Potentially life-threatening differential diagnoses of pulmonary embolism are summarized in Table 1.
Potentially Life-Threatening Differential Diagnoses Of Pulmonary Embolism
| Potentially Life-Threatening Causes | History and Physical examination | Bed-side Actions | Imaging | Laboratory | Comments/Pearls and Pitfalls |
|---|---|---|---|---|---|
| ACS – STEMI | Typical chest pain | ECG | Troponins | Central PE causes angina-like chest pain and cannot be excluded only based on the nature of pain. | |
| ACS – NSTEMI | Typical chest pain | ECG | Troponins | Troponins may be elevated in PE. | |
| Cardiogenic Shock/Congestive Heart Failure | History of CHF | Bed-side ultrasound (e.g. RUSH protocol) | Pulmonary edema on chest X-ray | BNP Pro-BNP | BNP and pro-BNP may be elevated in PE. |
| Cardiac Dysrhythmias | Personal/Family history of cardiac dysrhythmias, new-onset “convulsions” | ECG | |||
| Pneumothorax | Trauma? | Bed-side ultrasound | Pneumothorax on chest X-ray | ||
| Cardiac Tamponade | Malignancy? | Bed-side ultrasound | Malignancy increases both PE and cardiac tamponade incidence. | ||
| Pneumonia | Cough with sputum, fever, immunosuppression | Bed-side ultrasound | Pneumonic infiltration on chest X-ray | WBC CRP Procalcitonin | |
| Esophageal Rupture | Chest X-ray CT/CTPA | ||||
| Pulmonary Malignancy | History | Chest X-ray CT/CTPA | Malignancy increases cardiac tamponade incidence. | ||
| Asthma | History Bronchospasm on examination | ||||
| Aortic Dissection | Bed-side ultrasound | CT/CTPA | |||
| Pericarditis/Myocarditis | History of flu-like symptoms | ECG Bed-side ultrasound | Troponins |
Non-Life-Threatening Causes are Bronchitis, Chest wall pain/Costochondritis, Pleuritis/Pleurisy, GI Abnormalities (GERD, Peptic Ulcer, Gastritis), Panic Attack/Anxiety Disorder, Rib Fracture.
History and Physical Examination Hints
- The character and severity of the clinical presentation may vary tremendously from being asymptomatic to sudden death. The patient’s prior condition, clot’s size, and localization affect presentation. Even highly qualified EPs may miss the diagnosis because of vague signs. Previously healthy young patients tend to be mildly symptomatic with normal vital signs. Prior cardiopulmonary disease and cognitive dysfunction generally obscure the diagnosis. Therefore, atypical presentations are frequent in elderly patients. Proximal clots cause dyspnea via ventilation-perfusion mismatch. Pneumonia-like presentation and pain due to pulmonary infarction are more often in distal clots. The presence or absence of sudden onset symptoms neither increase nor decrease the probability of PE. Fewer than half of patients describe sudden onset.
- Most patients with PE complain of dyspnea (82-85%), chest pain (40-49%), pre-syncope or syncope (10-14%), and hemoptysis (2%). Other PE-related signs and symptoms include functional or mental deterioration, arterial hypotension, cough, flank pain, abdominal pain, dizziness, light-headedness, tachypnea (30-60%), fever, diaphoresis, and anxiety. DVT-related symptoms may accompany. Some cases are asymptomatic and diagnosed incidentally.
- Shortness of breath, vague or apparent, is the most common symptom. A patient with PE typically presents with 2 to 3 days of new-onset shortness of breath that is not explained by a known medical condition, now worsened enough to seek care. Because the embolic burden is loading gradually, most patients describe dyspnea on exertion days to weeks before dyspnea at rest.
- Contrary to common misbelief, PE may cause both pleuritic and angina-like chest pain. Distal emboli induce atypical, pleuritic, stabbing-like chest pain due to pleural irritation. Central emboli may present as typical angina-like chest pain, possibly associated with RV ischemia. Thus, exclusion solely based on the quality of chest pain is impossible.
- The frequency of syncope and pre-syncope among the ED patients with confirmed PE remains highly variable in different studies (4-22%). On the other hand, only in a minor group of patients presented with pre-syncope and syncope, the final diagnosis is PE. Yet, patients with PE who present with syncope tend to have major PE.
- Haemoptysis is not common but is more specific to PE.
- Vital signs are variable. Most patients have relatively normal vitals. Some are in shock and shock is a predictor of bad outcome. Heart rate > 100 bpm and oxygen saturation <95% increase the probability. Fever does not exclude PE, though an oral temperature >39.2°C (102.5°F) greatly decreases the possibility. Mild or severe increase in respiratory rate may be present. Normalization of vital signs with treatment or time does not change the likelihood of PE.
- No single examination sign confirms or excludes PE. DVT-related signs increase the possibility. Pulmonary infarction secondary to PE or other diagnoses may cause crackles. Bronchospasm primarily dictates other diagnoses. However, the EP must consider that underlying PE exacerbates Chronic Obstructive Pulmonary Disease (COPD). Treatment-resistant COPD exacerbations may imply PE.
- The combination of history and physical examination is frequently insufficient to diagnose. Thus, the EP must investigate risk factors to determine the likelihood of PE. The risk factors in the emergency setting differ from the general population or longitudinal risk factors.
Selected Risk Factors of Pulmonary Embolism In The ED Setting
| Indicators of PE in the ED Setting | May Be Less Significant in the ED Population |
|---|---|
| Age > 50 Recent Surgery Recent Major Trauma Immobilization Estrogen Prior VTE Postpartum Inherited Thrombophilia Active cancer | Pregnancy Smoking Family History of VTE Inactive cancer Travel |
Table 2 summarizes selected common risk factors in the ED setting. For a more detailed discussion, please refer to the relevant sections of “Emergency Evaluation For Pulmonary Embolism, Part 1: Clinical Factors That Increase Risk” at this link and “Clinical Features From the History and Physical Examination That Predict the Presence or Absence of Pulmonary Embolism in Symptomatic Emergency Department Patients: Results of a Prospective, Multicenter Study” at this link.
- Up to 30% of adult patients are without risk factors at the time of the diagnosis.
- Clinical prediction rules stratify patients according to their pretest probabilities.
- Experienced physician’s gestalt and clinical prediction rules showed similar performance in some studies, but the use of clinical prediction rules are strongly recommended for inexperienced physicians.
- Pulmonary Embolism Rule-Out Criteria (PERC) is recommended for the bedside exclusion of low-risk patients – link
Emergency Diagnostic Tests and Interpretation
- Bedside ECG shows tachycardia and non-specific ST-T changes in most of the cases. Acute S1Q3T3 finding in the ECG is seen only increased right ventricle enlargement and pressure which seen massive emboli. These finding can also be seen in core pulmonale.
- Pulmonary embolism should come to mind in a large number of patients because of the changeable and vague nature of its presentation. Proper assessment of clinical probability, D-dimer testing and CTPA are cornerstones of management. Other diagnostic tools like lung scintigraphy, bedside echocardiography and compression venous ultrasonography of bilateral lower extremities may prove useful in special circumstances such as pregnancy, unavailability of CTPA, instability or shock.
What is your diagnosis in CT given below?
AnswerCT shows a “saddle embolus” at the bifurcation of the pulmonary artery and thrombus burden in the lobar branches of both main pulmonary arteries.
The high frequency of patients with symptoms implying PE results in the dilemma of underdiagnosing or overtesting for PE. Underdiagnosing PE increases mortality and morbidity. Overtesting raises emergency medicine crowding and potential complications due to chosen diagnostic modality. A true understanding and strict application of proven and reliable clinical rules and algorithms are recommended.
- The first step is the evaluation of the patient’s stability. The diagnostic and therapeutic measures in stable and unstable patients are different. The presence of shock or hypotension immediately indicates high-risk PE while the absence of those implies non-high-risk PE. The proposed algorithms for both are as follows:
- Non-high-risk PE: The clinical approach for stable patients is demonstrated at this link as a part of “Emergency Evaluation For Pulmonary Embolism, Part 2: Diagnostic Approach.
- High-risk PE: The clinical approach for unstable patients is demonstrated at this link as part of 2014 ESC Guidelines on the diagnosis and management of acute pulmonary embolism.
- Once PE is confirmed accordingly, prognostic assessment is the next step. Clinical parameters and right ventricular function via imaging and biomarkers help the EP to predict prognosis.
- The mostly studied prognostic prediction rules are Pulmonary Embolism Severity Index (PESI) – link. and its simplified version (sPESI) – link.
- Right ventricular dysfunction has been reported ≥ 25% of patients. It implies a low cardiac output and adverse outcome. Echocardiographic findings of right ventricular dysfunction include right ventricular dilatation and hypokinesis, septal flattening and paradoxical septal motion, diastolic left ventricular impairment. Other findings include direct visualization of pulmonary embolism, pulmonary arterial hypertension, right ventricular hypertrophy and patent foramen ovale. A normal right ventricular function does not exclude PE.
- Elevated brain natriuretic peptide (BNP), N-terminal (NT)-proBNP, troponins, creatinine, and D-dimer predict higher mortality. Negative biomarkers and D-dimer indicates a good prognosis.
- Patients are classified into four groups based on early mortality risk. Patients who are hypotensive or in shock are defined as high-risk regardless of other evaluations. Normotensive patients who are PESI class III-IV or sPESI class ≥ I are at intermediate risk. Intermediate risk group divides into intermediate-high risk and intermediate-low risk groups, according to RV function and cardiac biomarker values. Lastly, a PESI class I-II or sPESI class 0 normotensive patient is defined as a low-risk patient. The proposed risk stratification (link) and risk-adjusted management strategies in acute PE is demonstrated at this link as part of 2014 ESC Guidelines on the diagnosis and management of acute pulmonary embolism.
Emergency Treatment Options
Initial Stabilization
Stabilizing interventions, diagnostic and therapeutic effort must begin immediately and continue till admission for an unstable patient. Development of shock, hypotension or hypoxemia in the course of ED stay warrants prompt stabilization.
- If the patient is hypoxemic
- Administer oxygen
- Intubate, if necessary. Beware of high intrathoracic pressure for it may worsen the right ventricular failure. Therefore; aim:
- Low tidal volumes (about 6 mL/kg lean body weight)
- limited positive end-expiratory pressure
- to keep end-inspiratory plateau pressure < 30 cm H20
* Use non-invasive mechanical ventilation with caution.
* Mental deterioration and coma may dictate intubation.
- If the patient is hypotensive
- Give 500 mL normal saline IV bolus. Avoid excessive IV fluids for it may increase right ventricular strain.
- If fluid bolus does not help, start vasopressors. Norepinephrine and epinephrine are preferred over dobutamine/dopamine, except for a selected group of patients with known congestive heart failure.
- Confirm PE with whether CTPA or bedside ultrasound as the patient’s status permits. Prepare for thrombolytic treatment.
Medications
Parenteral anticoagulation for stable patients remains the mainstay of therapy in ED. Low-Molecular-Weight Heparins (LMWHs) and fondaparinux are preferred over unfractionated heparin (UFH) because of lower major bleeding and heparin-induced thrombocytopenia risk.
- LMWHs
- Enoxaparin: 1.0 mg/kg, every 12 hours, SC
- Tinzaparin: 175 U/kg, once daily, SC
- Dose reduction is required in renal impairment.
- Fondaparinux
- 7.5 mg, body weight 50-100 kg,
- 5 mg, body weight <50 kg
- 10 mg, if body weight >100 kg, once daily, SC)
- Contraindicated, if creatinine clearance <30 mL/min
- Dose reduction by 50%, creatinine clearance is 30-50 mL/min.
- UFH
- 80 Units/kg IV bolus, then 18 Units/kg/h continues IV infusion.
- Recommended, if the patient is
- a candidate for thrombolytic treatment
- severely obese
- Recommended, if creatinine clearance <30 mL/min
- Advantages: The ease of monitoring and reversal of effects by protamine.
Thrombolytic treatment must be reserved for unstable patients. Streptokinase, urokinase and recombinant tissue plasminogen activator (rTPA) are approved thrombolytic agents for PE. As a general rule, LMWHs, fondaparinux and UFH infusion must be stopped during thrombolytic therapy. Currently, recombinant tissue plasminogen activator (rtPA) is the most widely used agent and its dose is 100 mg over 2 hours OR, 0.6 mg/kg over 15 minutes, the maximum dose of 50 mg.
Vitamin K antagonists (VKAs, e.g., warfarin) and new oral anticoagulants (NOACs, e.g., dabigatran, rivaroxaban) should be started in the inpatient setting after initial therapy.
Surgical embolectomy, percutaneous catheter-directed treatment, and venous filters are rarely applied after admission to ICU.
Pediatric, Geriatric, Pregnant Patient, and Other Considerations
Pediatric considerations
The pediatric pulmonary embolism is relatively rare, but widespread use of CTPA showed that it is more frequent than previously thought.
Up to 30% of adult patients have no identifiable risk factors. Unlike adults, 96-98% of pediatric patients have identifiable risk factors, 88% have two or more. Infants and neonates bear the highest risk. In all age groups, a central venous catheter is the most common risk factor. Other common risk factors include dehydration, septicemia, peripartum asphyxia in neonates. Malignancy, lupus erythematosus, renal disease, congenital thrombophilia, surgery and major trauma are common predisposing factors in older children. Overall, immobilization, hypercoagulability, central venous catheter, excess estrogen state, and concurrent deep venous thrombosis are associated with pediatric PE. Deep venous thrombosis in children is predominantly associated with upper extremity and central venous catheter rather than lower extremity as in adults.
Pleuritic chest pain (84%), hemoptysis and shortness of breath are the main symptoms. D-dimer and prediction rules are not studied in children. CTPA remains the primary diagnostic tool in the emergency setting. The segmental arteries are affected 52%. The main or central arteries are affected 6%. Children tend to compensate for relatively large clots well out of their cardiopulmonary reserve.
LMWH is the mainstay of the therapy. Hemodynamically unstable patients should receive thrombosis. The prognosis is generally good. Shock is the predictor of an adverse outcome.
- Enoxaparin
- <2 months: 1.5 mg/kg/dose SC, twice a day
- >2 months: 1.0 mg/kg/dose SC, twice a day
Geriatric considerations
The management and treatment do not change in geriatric patients. However, the EP should consider a few issues. The incidence of PE increases with age. Atypical presentations are common; comorbid illnesses and dementia obscure the diagnosis. The treatment does not change, but complications of anticoagulation occur more frequently. The EP must adjust dose according to comorbid situations like renal dysfunction of cachexia.
Pregnant patient considerations
PE and pregnancy form an ominous couple for apparent reasons. Pregnant and postpartum women are susceptible to PE. Peak times are the third trimester and the first 4 weeks following the labor, particularly after cesarean section. Moreover, breathlessness is a common complaint during pregnancy. The potential harm to fetus and woman breast from ionizing radiation, the fear of missing a life-threatening diagnosis and the need for quick decisions harden the management of a pregnant woman with suspected PE. A clinical pathway is recommended at this link as a part of “Emergency Evaluation For Pulmonary Embolism, Part 2: Diagnostic Approach.
The first step is bilateral lower extremity venous ultrasound. If the ultrasound is positive, the treatment starts without further investigation. If the ultrasound is negative, the EP must assess the pretest probability (PTP). The trimester, physician’s gestalt or clinical prediction rules are available methods to assess PTP. Note that no prediction rule is validated in pregnant. In the non-high risk group, PERC negative patients are further stratified with D-dimer. If D-dimer is under cutoff values according to trimesters, PE can be excluded to a reasonable degree of medical certainty. High risk, PERC positive or D-dimer positive patients should undergo imaging. On the imaging branch, shared decision-making should be pursued between CTPA and ventilation-perfusion scan.
LMWH is safe during pregnancy [Pregnancy Category (PC) B] and lactation and so is standard treatment and is preferred over heparin (PC C). Fondaparinux (PC B) is not recommended due to lack of data. VKAs (PC X) and new oral coagulants are contraindicated in pregnancy. Pregnancy does not alter the dosage.
Disposition Decisions
Admission Criteria
- All high-risk patients, including those in shock, who are hypotensive, post-CPR, intubated, or who have received thrombolytic treatment must be admitted to ICU.
- Intermediate-high risk patients should be observed in monitored beds and possibly in ICU
- Intermediate-low risk and low-risk patients should be admitted to the ward.
Discharge Criteria
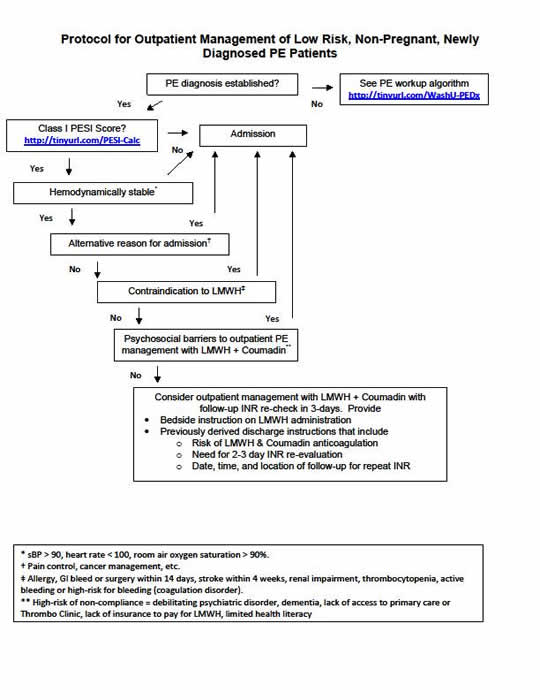
- A very selected group of low-risk patients may be treated as outpatients. A proposed algorithm for outpatient management of PE is available at this link
- Several discharge instructions are available online (I and II).
Referral
- Patients must be referred to respiratory or internal medicine.
Pearls And Pitfalls
- Use validated clinical prediction rules to estimate pretest probability in patients with suspected PE.
- Do not proceed to D-dimer measurements or imaging studies in patients with a low PTP and negative Pulmonary Embolism Rule-Out Criteria.
- A high sensitivity D-dimer is the initial test in patients with intermediate PTP or low PTP but a positive Pulmonary Embolism Rule-Out Criteria. Imaging studies are not the initial test in patients with low or intermediate PTP.
- Use age-adjusted D-dimer thresholds in patients older than 50.
- CTPA is the initial test in patients with high PTP. Ventilation-perfusion scans are alternative if CTPA is contraindicated or unavailable. D-dimer cannot exclude PE in patients with high PTP.
References and Further Reading
- Goldhaber SZ. Pulmonary Embolism. Lancet. 2004;363(9417):1295-305.
- Logan JK, Pantle H, Huiras P, et al. Evidence-based diagnosis and thrombolytic treatment of cardiac arrest or periarrest due to suspected pulmonary embolism. Am J Emerg Med. 2014;32:789–96.
- Kurkciyan I, Meron G, Sterz F, et al. Pulmonary embolism as a cause of cardiac arrest. Arch Intern Med. 2000;160:1529–35.
- Spirk D, Husmann M, Hayoz D, et al. Predictors of in-hospital mortality in elderly patients with acute venous thromboembolism: the SWIss Venous ThromboEmbolism Registry (SWIVTER). Eur Heart J 2012;33:921–6.
- Stein PD, Matta F, Alrifai A, et al. Trends in case fatality rate in pulmonary embolism according to stability and treatment. Thromb Res. 2012;130:841–6.
- Mercat A, Diehl JL, Meyer G, Teboul JL, Sors H. Hemodynamic effects of fluid loading in acute massive pulmonary embolism. Crit Care Med. 1999;27(3):540–544.
- Ghignone M, Girling L, Prewitt RM. Volume expansion versus norepinephrine in treatment of a low cardiac output complicating an acute increase in right ventricular afterload in dogs. Anesthesiology. 1984;60(2):132–135.
- Kline JA. Thromboembolism. In: Tintinalli JE, Stapczynski JS, Ma OJ, Cline DM, Cydulka RK, Meckler GD, editors. Tintinalli’s Emergency Medicine: A Comprehensive Study Guide, 7th ed. New York: McGraw-Hill; 2011:430-441.
- Courtney DM, et al: Clinical features from the history and physical examination that predict the presence or absence of pulmonary embolism in symptomatic emergency department patients: Results of a prospective, multicenter study. Ann Emerg Med. 2010; 55:305-315.
- Miniati M, Prediletto R, Formichi B, Marini C, Di Ricco G, Tonelli L, Allescia G, Pistolesi M. Accuracy of clinical assessment in the diagnosis of pulmonary embolism. Am J Respir Crit Care Med. 1999;159(3):864–871.
- Pollack CV, Schreiber D, Goldhaber SZ, Slattery D, Fanikos J, O’Neil BJ, Thompson JR, Hiestand B, Briese BA, Pendleton RC, Miller CD, Kline JA. Clinical characteristics, management, and outcomes of patients diagnosed with acute pulmonary embolism in the emergency department: initial report of EMPEROR (Multicenter Emergency Medicine Pulmonary Embolism in the Real World Registry). J Am Coll Cardiol. 2011;57(6):700–706.
- Wells PS, Ginsberg JS, Anderson DR, Kearon C, Gent M, Turpie AG, Bormanis J, Weitz J, Chamberlain M, Bowie D, Barnes D, Hirsh J. Use of a clinical model for safe management of patients with suspected pulmonary embolism. Ann Intern Med. 1998;129(12):997–1005.
- Fine B. Pulmonary Embolism. In: Ferri FF, et al, editors. Ferri’s Clinical Advisor 2015: 5 Books In 1. Philedephia: Elsevier; 2015:1004-1006.
- Kline JA. Pulmonary Embolism And Deep Vein Thrombosis. In: Marx JA, Hockberger RS, Walls RM, et al, editors. Rosen’s Emergency Medicine: Concepts And Clinical Practice. Philedephia: Elsevier; 2014:1157-1169.
- Morpurgo M, Schmid C. The spectrum of pulmonary embolism. Clinicopathologic correlations. Chest. 1995;107:18S–20.
- Susec O, Boudrow D, Kline J. The clinical features of acute pulmonary embolism in ambulatory patients. Acad Emerg Med. 1997;4:891–7.
- The Task Force for The Diagnosis and management of Acute Pulmonary Embolism of The European Society of Cardiology (ESC). 2014 ESC Guidelines on the diagnosis and management of acute pulmonary embolism. Eur Heart J. 2014;35(43):3033-3073.
- Miniati M, Cenci C, Monti S, et al. Clinical presentation of acute pulmonary embolism: survey of 800 cases. PLoS One. 2012;7:e30891.
- Ceriani E, Combescure C, Le GG, et al. Clinical prediction rules for pulmonary embolism: a systematic review and meta-analysis. J Thromb Haemost. 2010;8:957–70.
- LucassenW, Geersing GJ, Erkens PM, et al. Clinical decision rules for excluding pulmonary embolism: a meta-analysis. Ann Intern Med. 2011;155:448–60.
- Thiruganasambandamoorthy V, Stiell IG, Wells GA, et al. Outcomes in presyncope patients: a prospective cohort study. Ann Emerg Med. 2015;65:268–76.e6.
- Birnbaum A, Esses D, Bijur P, et al. Failure to validate the San Francisco Syncope Rule in an independent emergency department population. Ann Emerg Med. 2008;52:151–9.
- Kline JA, Karbhel C. Emergency Evaluation For Pulmonary Embolism, Part 1: Clinical Factors That Increase Risk. J Emerg Med. 2015;48:771–780.
- Kline JA, Mitchell AM, Kabrhel C, et al. Clinical criteria to prevent unnecessary diagnostic testing in emergency department patients with suspected pulmonary embolism. J Thromb Haemost. 2004;2:1247–55.
- Wells PS, Anderson DR, Rodger M, et al. Derivation of a simple clinical model to categorize patients probability of pulmonary embolism: increasing the models utility with the SimpliRED Ddimer. Thromb Haemost. 2000;83:416–20.
- Perrier A, Roy PM, Aujesky D, et al. Diagnosing pulmonary embolism in outpatients with clinical assessment, D-dimer measurement, venous ultrasound, and helical computed tomography: a multicenter management study. Am J Med. 2004;116:291–9.
- Le Gal G, Righini M, Roy PM, et al. Prediction of pulmonary embolism in the emergency department: the revised Geneva score. Ann Intern Med. 2006;144:165–71.
- Miniati M, Bottai M, Monti S, et al. Simple and accurate prediction of the clinical probability of pulmonary embolism. Am J Respir Crit Care Med. 2008;178:290–4.
- Stein PD, Afzal A, Henry JW, et al. Fever in acute pulmonary embolism. Chest. 2000;117:39–42.
- Kline JA, Corredor DM, Hogg MM, et al. Normalization of vital signs does not reduce the probability of acute pulmonary embolism in symptomatic emergency department patients. Acad Emerg Med. 2012;19:11–7.
- White RH. The epidemiology of venous thromboembolism. Circulation. 2003;107(23 Suppl 1):I4–I8.
- Courtney DM. Pulmonary Embolism. In: Adams JG, Barton ED, Collings JL, DeBlieux PMC, Gisondi MS, Nadel ES, editors. Emergency Medicine: Clinical Essentials. Philedephia: Elsevier; 2013:602-610.
- Lidegaard O, Lokkegaard E, Svendsen AL, et al. Hormonal contraception and risk of venous thromboembolism: national follow-up study. BMJ. 2009;339:b2890.
- Rott H. Thrombotic risks of oral contraceptives. Curr Opin Obstet Gynecol 2012;24:235–40.
- Meng K, Hu X, Peng X, Zhang Z. Incidence of venous thromboembolism during pregnancy and the puerperium: a systematic review and meta-analysis. J Matern Fetal Neonatal Med 2015;28(3):245–53.
- Beam DM, Courtney DM, Kabrhel C, et al. Risk of thromboembolism varies, depending on category of immobility in outpatients. Ann Emerg Med 2009;54:147–52.
- Chandra D, Parisini E, Mozaffarian D. Meta-analysis: travel and risk for venous thromboembolism. Ann Intern Med. 2009;151:180–90.
- http://www.mdcalc.com accessed at 05/05/2016
- Lucassen W, Geersing GJ, Erkens PM, et al. Clinical decision rules for excluding pulmonary embolism: a meta-analysis. Ann Intern Med. 2011;155:448–60.
- Runyon MS, Webb WB, Jones AE, et al. Comparison of the unstructured clinician estimate of low clinical probability for pulmonary embolism to the Canadian score or the Charlotte rule. Acad Emerg Med. 2005;12:587–93
- Kline JA, William B, Stubblefield BS. Clinician Gestalt Estimate of Pretest Probability for Acute Coronary Syndrome and Pulmonary Embolism in Patients With Chest Pain and Dyspnea. Ann Emerg Med. 2014;63:275-280.
- Gibson NS, Sohne M, Kruip MJ, et al. Further validation and simplification of the Wells clinical decision rule in pulmonary embolism. Thromb Haemost. 2008;99(1):229–234.
- Klok FA, Mos IC, Nijkeuter M, et al. Simplification of the revised Geneva score for assessing clinical probability of pulmonary embolism. Arch Intern Med. 2008;168(19):2131–2136.
- Kline JA, Courtney DM, Kabrhel C, Moore CL, Smithline HA, McCubbin TR, et al. Prospective multicenter evaluation of the pulmonary embolism rule-out criteria. J Thromb Haemost. 2008;6(5):772–80.
- Kline JA, Karbhel C. Emergency Evaluation For Pulmonary Embolism, Part 2: Diagnostic Approach. J Emerg Med. 2015;49:104-117.
- Aujesky D, Obrosky DS, Stone RA, Auble TE, Perrier A, Cornuz J, Roy PM, Fine MJ. Derivation and validation of a prognostic model for pulmonary embolism. Am J Respir Crit. Care Med 2005;172(8):1041–1046.
- Jime´nez D, Aujesky D, Moores L, Go´mez V, Lobo JL, Uresandi F, Otero R, Monreal M, Muriel A, YusenRD. Simplification of the pulmonary embolism severity index for prognostication in patients with acute symptomatic pulmonary embolism. Arch Intern Med. 2010;170(15):1383–1389.
- Kreit JW. The impact of right ventricular dysfunction on the prognosis and therapy of normotensive patients with pulmonary embolism. Chest 2004;125(4):1539–1545.
- Kucher N, Rossi E,De Rosa M, Goldhaber SZ. Prognostic role of echocardiography among patients with acute pulmonary embolism and a systolic arterial pressure of 90 mm Hg or higher. Arch Intern Med 2005;165(15):1777–1781.
- Bajc M, Olsson B, Palmer J, Jonson B. Ventilation/Perfusion SPECT for diagnostics of pulmonary embolism in clinical practice. J Intern Med 2008;264(4):379–387.
51. Grifoni S, Olivotto I, Cecchini P, Pieralli F, Camaiti A, Santoro G, Conti A, Agnelli G, Berni - Short-term clinical outcome of patients with acute pulmonary embolism, normal blood pressure, and echocardiographic right ventricular dysfunction. Circulation. 2000;101(24):2817–2822.
- Torbicki A, Kurzyna M, Ciurzynski M, Pruszczyk P, Pacho R, Kuch-Wocial A, Szulc M. Proximal pulmonary emboli modify right ventricular ejection pattern. Eur Respir J 1999;13(3):616–621.
- Goldhaber SZ. Echocardiography in the Management of Pulmonary Embolism. Ann Intern Med. 2002;136:691-700.
- Klok FA, Mos IC, Huisman MV. Brain-type natriuretic peptide levels in the prediction of adverse outcome in patients with pulmonary embolism: a systematic review and meta-analysis. Am J Respir Crit Care Med 2008;178(4):425–430.
- Jime´nez D, Uresandi F, Otero R, Lobo JL, Monreal M, Martı´ D, Zamora J, Muriel A, Aujesky D, Yusen RD. Troponin-based risk stratification of patients with acute nonmassive pulmonary embolism: systematic review and metaanalysis. Chest 2009;136(4):974–982.
- Kostrubiec M, Łabyk A, Pedowska-Włoszek J, Pacho S, Wojciechowski A, Jankowski K, Ciurzyn´ski M, Pruszczyk P. Assessment of renal dysfunction improves troponin-based short-term prognosis in patients with acute symptomatic pulmonary embolism. J Thromb Haemost 2010;8(4):651–658.
- Becattini C, Lignani A, Masotti L, Forte MB, Agnelli G. D-dimer for risk stratification in patients with acute pulmonary embolism. J Thromb Thrombolysis 2012;33(1):48–57.
- Lobo JL, Zorrilla V, Aizpuru F, Grau E, Jime´nez D, Palareti G, Monreal M. D-dimer levels and 15-day outcome in acute pulmonaryembolism. Findings from the RIETE Registry. J Thromb Haemost 2009;7(11):1795–1801.
- Coutance G, Cauderlier E, Ehtisham J, Hamon M, Hamon M. The prognostic value of markers of right ventricular dysfunction in pulmonary embolism: a meta-analysis. Crit Care 2011;15(2):R103.
- Vuilleumier N, Le Gal G, Verschuren F, Perrier A, Bounameaux H, Turck N, Sanchez JC, Mensi N, Perneger T, Hochstrasser D, Righini M. Cardiac biomarkers for risk stratification in non-massive pulmonary embolism: a multicenter prospective study. J Thromb Haemost 2009;7(3):391–398.
- Kostrubiec M, Pruszczyk P, Bochowicz A, Pacho R, Szulc M, Kaczynska A, Styczynski G, Kuch-Wocial A, Abramczyk P, Bartoszewicz Z, Berent H, Kuczynska K. Biomarker-based risk assessment model in acute pulmonary embolism. Eur Heart J 2005;26(20):2166–2172.
62. Lankeit M, Friesen D, Aschoff J, Dellas C, Hasenfuss G, Katus H, Konstantinides S, Giannitsis E. Highly sensitive troponin T assay in normotensive patients with acute pulmonary embolism. Eur Heart J 2010;31(15):1836–1844. - Aujesky D, Roy PM, Guy M, Cornuz J, Sanchez O, Perrier A. Prognostic value of D-dimer in patients with pulmonary embolism. Thromb Haemost 2006;96(4):478–482.
- Ghignone M, Girling L, Prewitt RM. Volume expansion versus norepinephrine in treatment of a low cardiac output complicating an acute increase in right ventricular afterload in dogs. Anesthesiology 1984;60(2):132–135.
- Victoria T, Mong A, Altes T, et al. Evaluation of pulmonary embolism in a pediatric population with high clinical suspicion. Pediatr Radiol 2009; 39:35–41
- Kritsaneepaiboon S, Lee EY, Zurakowski D, Strauss KJ, Boiselle PM. MDCT pulmonary angiography evaluation of pulmonary embolism in children. AJR 2009; 192:1246–1252
- Patocka C, Nemeth J. Pulmonary Embolism in Pediatrics. J Emerg Med. 2012;42:105-116.
- Andrew M, David M, Adams M, et al. Venous thromboembolic complications (VTE) in children: first analyses of the Canadian Registry of VTE. Blood 1994; 83:1251–1257
- Lee EY, Neuman MI, Lee NJ, et al. Pulmonary embolism detected by pulmonary MDCT angiography in older children and young adults: risk factor assessment. Am J Roentgenol 2012; 198:1431–1437
- Babyn PS, Gahunia HK, Massicotte P. Pulmonary thromboembolism in children. Pediatr Radiol 2005; 35:258–274
- Schmidt B, Andrew M. Neonatal thrombosis: report of a prospective Canadian and international registry. Pediatrics 1995; 96:939–943
- van Ommen CH, Heijboer H, Buller HR, Hirasing RA, Heijmans HS, Peters M. Venous thromboembolism in childhood: a prospective two-year registry in The Netherlands. J Pediatr 2001; 139:676–681
- Thacher PG, Yee EY. Pulmonary Embolism in Children. Am J Roentgenol. 2005;204:1278-1288
- Chan AK, Deveber G, Monagle P, Brooker LA, Massicotte PM. Venous thrombosis in children. J Thromb Haemost 2003; 1:1443–1455
- http://reference.medscape.com/drug/lovenox-enoxaparin-342174
- Victoria T, Mong A, Altes T, et al. Evaluation of pulmonary embolism in a pediatric population with high clinical suspicion. Pediatr Radiol 2009; 39:35–41
- http://emed.wustl.edu/education/EmergencyMedicineJournalClub/Archive/September2013.aspx accessed at 05.05.2016.
- http://www.drugs.com/cg/pulmonary-embolism-aftercare-instructions.html accessed at 05.05.2016.
- http://www.pinnaclehealth.org/wellness-library/blog-and-staywell/health-resources/article/20166 accessed at 05.05.2016.
- Raja AS, Greenberg JO, Qaseem A, et al; for the Clinical Guidelines Committee of the American College of Physicians. Evaluation of Patients With Suspected Acute Pulmonary Embolism: Best Practice Advice From the Clinical Guidelines Committee of the American College of Physicians. Ann Intern Med. 2015;163:701-711.
Links To More Information
- CDEM Curriculum – Paul YK – Pulmonary Embolus – Link Accessed at June 13, 2018.
- EMERGENCY MEDICINE CASES – Pulmonary Embolism – Link Accessed at June 13, 2018.
- ECG Findings in Pulmonary Embolism. (http://lifeinthefastlane.com/ecg-library/pulmonary-embolism/ accessed at 05.05.2016)
- Radiological Features of Pulmonary Embolism and Cases. (http://radiopaedia.org/articles/pulmonary-embolism accessed at 05.05.2016)
- http://radiopaedia.org/cases/pulmonary-artery-embolism
- Bedside Echo in PE. (http://lifeinthefastlane.com/cardiovascular-curveball-011/ accessed at 05.05.2016)
- Self assessment questions (http://www.turner-white.com/memberfile.php?PubCode=hp_jun07_rqembolus.pdf accessed at 05.05.2016)
- A discussion on the outpatient treatment (http://www.emdocs.net/outpatient-pe-treatment/ accessed at 05.05.2016)
- A review on PE (http://emedicine.medscape.com/article/300901-overview accessed at 05.05.2016)

